본문 바로가기
::public/수포자를 위한 게임 수학

백터의 내적(dot product)

by 해맑은욱 2019. 11. 15.

컴퓨터 그래픽스는 시각적으로 인지하는 3차원 공간에서의 연산을 다루기 때문에 내적을 다룰 때 유클리드 공간의 내적만 고민하면 된다. 그래서 점곱을 사용하고 영문권에서는 dot product라는 용어를 사용한다. 내적은 무언가를 풀기 위해 고안된 공식이 아니고 그냥 두 벡터의 관계를 증명해주는 유용한 계산 방식에 가깝다고 할 수 있다. 

 

두 벡터 v와 u가 있을 때 내적은 다음과 같다. 내적의 중요한 특징 중 하나는 두 벡터를 내적한 결과는 스칼라 값이 된다는 것이다.

이러한 공식으로 인해 같은 벡터의 내적은 벡터의 크기를 제곱한 값이 된다. 같은 벡터를 내적하는 코드는 셰이더 프로그래밍에서 종종 등장하니 알아두면 좋다.

내적을 행렬로 표현하면 다음과 같다. 벡터를 나타내는 행렬과 이의 전치행렬 간의 곱은 내적이 된다.

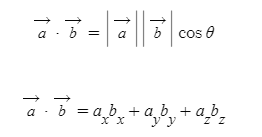
임의의 사이각을 가지는 두 벡터의 내적은 다음과 같은 공식으로 최종 유도된다.

 

[출처] 13. 벡터의 내적(Dot Product)|작성자 이득우

 

[참고]벡터의 내적을 이용한 캐릭터 회전

https://blog.naver.com/dokimajo/100062963876

 

벡터의 내적을 이용한 캐릭터 회전

벡터의 내적을 이용한 캐릭터의 회전에 대해서 글을 쓰려고 한다. 우선 벡터와 내적에 대해서 궁금한 사람...

blog.naver.com

 

'::public > 수포자를 위한 게임 수학' 카테고리의 다른 글

역행렬  (0) 2019.11.15
행렬(matrix)  (0) 2019.11.15
탄젠트(tangent)  (0) 2019.11.14
사인과 코사인(Cin & Cos)  (0) 2019.11.14
라디안(Radian)  (0) 2019.11.14